材料特性
   O-RING概述与设计  
   O-RING产品系列
   台湾DZ系列
   德国德氏封系列
 孔用密封
 轴用密封
 U型/Y型圈
 导向环
 防尘圈
 旋转密封圈
 组合密封垫圈
   NOK密封件系列
    D-A-S组合密封圈系列
   台湾NAK骨架油封系列
albb 
DZ 
上一个   下一个
V 形密封圈

标准材料:
-经AF处理的邵氏A60的丁腈橡胶(NBR)
-经AF处理的邵氏A65 的氟橡胶(FPM)
标准形状:
V形密封圈包括4个标准型和1个大直径的特殊类型。标准型包括 VA、VS、VL、VE 四种型式,特殊型只有VB型一种。具体见图示
VA型:
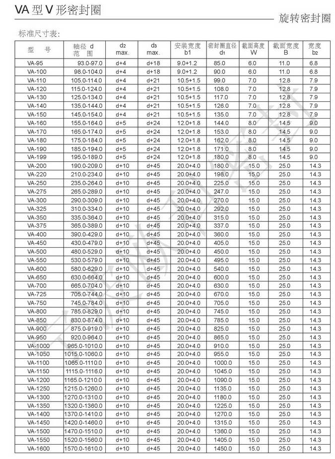
VA型密封圈是最常用的截面。可用作轴径从3 mm 到1200 mm 的标准密封。直径达2000mm

的大直径密封圈可用几个弓形环对接硫化制造。

VS型:
此型密封唇的几何形状和VA型的一致。密封本体在背部用一斜面延伸而得到了加强。因此,它的安装宽度约增大50%。密封本体的加强增大了在较高圆周速度或受有外力作用时密封相对于轴的粘着力。轴径范围从5 mm到200mm。
VL型:

VL型的特点是具有较小截面的几何形状,因而它适用在那些安装空间有限的应用场合。轴径范围从120 mm 到600 mm。

VE型:这是一种可承受重载的具有加强截面的特别坚固的结构。直径范围从300mm 到1200 mm。
VB型:

当轴径小于约1200 mm 时,V 形密封圈可用模压方法制造。然而实际应用轴径达到5000mm。制造这种特殊尺寸的密封圈仅能采用几个同截面弓形体对接硫化的方法。因此,此种密封圈要比模压硫化的V形密封圈承受的载荷小,和本体材料相比,连接处的机械强度较低。因而,作为辅助的防护措施,可用一夹紧带把VB型密封圈夹持在轴上。VB与VE型密封唇的几何形状相同,可采用相同的安装尺寸。此类型密封尺寸请与我们联系。

 
应用范围:
V形密封圈使用方便和可靠工作,以及所需的设计工作最小,使其在工业工程、水处理装置、辗压机、机床等各领域广泛应用;较小尺寸的密封主要用在家用电器和电机中。
V形密封圈可用于防尘、防污、防油脂、防溅油、水和其它介质的密封;在特殊场合,可用作静密封,也安装在静止部件上。
作用:
V形密封圈是一种轴向作用的弹性橡胶密封圈,用作转轴无压密封。V形密封圈的本体保证密封圈借助弹性可靠地抱紧在轴上,密封圈随轴一起转动。滑动的密封唇有较好的活动性和适应性,所以相比于其他密封件,它可补偿较大的公差和角度偏差。
工作原理:
V形密封圈绷紧在轴上,且用其内在的弹性张力在轴上定位。挠性的密封唇用一较小的接触力和固定的密封表面保持接触,密封表面和轴线相垂直。挠性的密封唇可对公差、直线误差或角度偏差进行补偿。密封唇可防止内部油脂或油液向外泄漏,也可防止外界的溅水或尘埃的侵入。由于离心力的作用,外面的密封体的作用好似一个滑环,因而防止了污物的侵入。
优点:
-高效、价廉的轴密封
-无金属零件的纯橡胶弹性材料
-所需的设计工作最小,无安装加工要求
-取消了加工和表面质量或轴颈硬度的要求
-安装简便
-轴没有磨损
-配合的表面可以不必淬硬
-摩擦力小,摩擦损失小
-寿命长
-兼有密封及防污作用
-可适用高速

介质:
丁腈橡胶:矿物油、水、空气、乳化液、油脂
氟橡胶:矿物油、合成油、油脂、酸、碱摩擦:
我们提供的V形密封圈是在特殊工序中经过表面处理的。这种抗摩擦(AF)处理和未经处理的V形密封圈相比,可使摩擦力减小40~50%。密封唇很小的触压力确保有很小的摩擦损失。它们将受到接触力大小的影响,同时,摩擦损失也受到圆周速度的影响。在约12m/s前增大圆周速度时,摩擦损失随之增加;超过此速度,过大的离心力将使密封唇脱离。当V形密封圈用在特殊场合,例如运输和定位装置的吸取部件时,就不能使用AF处理。
设计准则:
密封圈的选择:
V形密封圈的尺寸经常可从一组直径范围中选取。如果轴的工称直径是处于两组推荐值的边界范围内时,则应使用下一组的较大的V形密封圈。转矩是靠绷紧在轴上的环的弹性张力来传递的。
配合表面的设计:
V形密封圈产生密封作用的所有元件都能用作配合表面。如:滚动轴承的端面;轴环;止推垫圈等。配合表面不需淬硬。如有砂粒、尘埃或碎屑等研磨材料时,则使用淬硬的配合表面较好。
相配合表面用精密加工方法获得。表面不应有径向的或螺旋形的加工痕迹。在诸如高速径向偏斜低摩擦或极脏的情况下使用时,表面质量约为:
Rmax = 10.0~16.0 μ m
Rz = 6.3~10.0 μ m
Ra = 1.6~3.2 μ m
轴的偏斜:和其他的轴封不同,即使轴相对于密封面具有一定偏角,V 形密封圈也能获得良好密封效果。允许的偏斜角约为1°。
密封圈的固定:
当圆周速度小于约8 m/s时,V形密封圈不要求附加固定元件。当速度较高或当要求轴线精确对中时,就必需采用固定元件。
使用条件:
压力: 无压力
温度:丁腈橡胶:-40℃~+100
氟橡胶:-20℃~+180
速度:一般应用≤ 8 m/s
轴向密封≥ 8 m/s
轴向和径向密封≥ 12 m/s
安装准则:
除专用密封外,V形密封圈的安装不要求特殊的准备工作,不需要安装的倒角,也不需其它结构措施。在安装时,V形密封圈可拉长达20%, 将之装到轴上或止推垫圈上。安装时不应使用尖锐的工具。
为使V形密封圈安置在其工作位置,可转动轴并用无锋的工具推动或对中密封体,达到正确安装位置。
 型号订货示例:
VA -100 / NBR
 
版权所有:宁波欧科密封科技有限公司   电话:0574-87668699   传真:0574-87668599  E-mail: nboukmf @163.com